McCormick X7.440-X7.690 / Landini 7-145 – 7-230












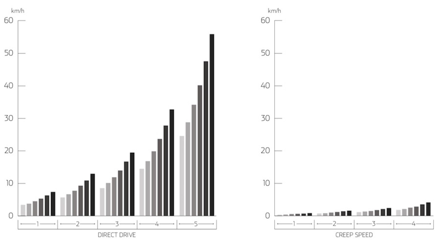
The new versions of the McCormick X7 series were introduced in the fall of 2017. Landini’s corresponding model range was now also the 7 series for the four-cylinder models. The Tier 4 Final compliant engines were BetaPower units manufactured by EEA, featuring urea injection, oxidation catalysts, and four-valve technology. Urea injection had been increased, and torque values were generally lower than those of the previous models. Additional power was available at speeds above 12 km/h or when using the power take-off. The transmission was a new ZF Terramatic, known as the P6-Drive. It had 6 quick-shift gears and 5 ranges. The gear automation also covered the range gear and featured Eco and Power modes. Alongside these, the VT-Drive models with ZF’s stepless transmission were still available, with four basic gears.
In hydraulics, a new basic option in the Efficient model was an 88 l/min open system. The Premium and VT-Drive models featured an adjustable displacement pump with a capacity of 123 l/min and came standard with three electrical sections. A 160 l/min pump was available as a new option. Regarding lifting capacity, the Efficient model introduced a cheaper solution than before with a 6300 kg lift unit. Other models had a lift capacity of 9300 kg. The Carraro-manufactured front axle featured a locking differential and optional independent suspension. The cabin noise level was specified as 70 dB. The cabin had four pillars but was relatively small in size. Premium and VT-Drive models had control armrests and automatic air conditioning. An optional new semi-active hydraulic cab suspension was also available.
In Landini terminology, the new transmission was called Robo-Six and the stepless transmission V-Shift. The base equipment was called Active, and the Premium version was called Dynamic.
This is an automated translation. Please report any issues in the translation.
| Model | McCormick X7.440 | Landini 7-145 | McCormick X7.450 | Landini 7-165 | McCormick X7.460 | Landini 7-175 | McCormick X7.650 | Landini 7-160 | McCormick X7.660 | Landini 7-180 | McCormick X7.670 | Landini 7-200 | McCormick X7.680 | Landini 7-220 | McCormick X7.690 | Landini 7-230 |
|---|---|---|---|---|---|---|---|---|---|---|---|---|---|---|---|---|
| Options | ||||||||||||||||
| Imported to Finland | Yes | Yes | Yes | Yes | Yes | Yes | Yes | Yes | Yes | Yes | Yes | Yes | Yes | Yes | Yes | Yes |
| Years | 2017-21 | 2017-21 | 2017-21 | 2017-21 | 2017-21 | 2017-21 | 2017-21 | 2017-21 | 2017-21 | 2017-21 | 2017-21 | 2017-21 | 2017-21 | 2017-21 | 2017-21 | 2017-21 |
| First year sold | 2017 | 2017 | 2017 | 2017 | 2017 | 2017 | 2017 | 2017 | 2017 | 2017 | 2017 | 2017 | 2017 | 2017 | 2017 | 2017 |
| Last year sold | 2021 | 2021 | 2021 | 2021 | 2021 | 2021 | 2021 | 2021 | 2021 | 2021 | 2021 | 2021 | 2021 | 2021 | 2021 | 2021 |
| Engine model | BetaPower | BetaPower | BetaPower | BetaPower | BetaPower | BetaPower | BetaPower | BetaPower | BetaPower | BetaPower | BetaPower | BetaPower | BetaPower | BetaPower | BetaPower | BetaPower |
| Cyl/Turbo/Intercooler | 4TI | 4TI | 4TI | 4TI | 4TI | 4TI | 6TI | 6TI | 6TI | 6TI | 6TI | 6TI | 6TI | 6TI | 6TI | 6TI |
| Displacement | 4485 cm³ | 4485 cm³ | 4485 cm³ | 4485 cm³ | 4485 cm³ | 4485 cm³ | 6728 cm³ | 6728 cm³ | 6728 cm³ | 6728 cm³ | 6728 cm³ | 6728 cm³ | 6728 cm³ | 6728 cm³ | 6728 cm³ | 6728 cm³ |
| Bore x stroke | 104×132 mm | 104×132 mm | 104×132 mm | 104×132 mm | 104×132 mm | 104×132 mm | 104×132 mm | 104×132 mm | 104×132 mm | 104×132 mm | 104×132 mm | 104×132 mm | 104×132 mm | 104×132 mm | 104×132 mm | 104×132 mm |
| Rated power hp/rpm ISO | 137/2200 | 137/2200 | 151/2200 | 151/2200 | 159(170)/2200 | 159(170)/2200 | 146(151)/2200 | 146(151)/2200 | 161(165)/2200 | 161(165)/2200 | 176(179)/2200 | 176(179)/2200 | 185(192)/2200 | 185(192)/2200 | 200(205)/2200 | 200(205)/2200 |
| Rated power | - | - | - | - | - | - | - | - | - | - | - | - | - | - | - | - |
| Rated speed | - | - | - | - | - | - | - | - | - | - | - | - | - | - | - | - |
| Max power hp/rpm ISO | 141(150)/1900 | 141(150)/1900 | 155(165)/1900 | 155(165)/1900 | 166(176)/1900 | 166(176)/1900 | 151(166)/1900 | 151(166)/1900 | 166(181)/1900 | 166(181)/1900 | 181(192)/1900 | 181(192)/1900 | 191(211)/1900 | 191(211)/1900 | 206(225)/1900 | 206(225)/1900 |
| Max power | - | - | - | - | - | - | - | - | - | - | - | - | - | - | - | - |
| Max speed | - | - | - | - | - | - | - | - | - | - | - | - | - | - | - | - |
| Torque Nm/rpm ISO | 594(615)/1400 | 594(615)/1400 | 652(676)/1400 | 652(676)/1400 | 693(693)/1400 | 693(693)/1400 | 632(676)/1400 | 632(676)/1400 | 694(738)/1400 | 694(738)/1400 | 758(800)/1400 | 758(800)/1400 | 800(860)/1400 | 800(860)/1400 | 850(897)/1400 | 850(897)/1400 |
| Gears | 30+15/stepless | 30+15/stepless | 30+15/stepless | 30+15/stepless | 30+15/stepless | 30+15/stepless | 30+15 | 30+15 | 30+15/stepless | 30+15/stepless | 30+15/stepless | 30+15/stepless | 30+15 | 30+15 | 30+15 | 30+15 |
| Synchronized gears | 30+15/stepless | 30+15/stepless | 30+15/stepless | 30+15/stepless | 30+15/stepless | 30+15/stepless | 30+15 | 30+15 | 30+15/stepless | 30+15/stepless | 30+15/stepless | 30+15/stepless | 30+15 | 30+15 | 30+15 | 30+15 |
| Powershift gears | 6-step/stepless | 6-step/stepless | 6-step/stepless | 6-step/stepless | 6-step/stepless | 6-step/stepless | 6-step | 6-step | 6-step/stepless | 6-step/stepless | 6-step/stepless | 6-step/stepless | 6-step | 6-step | 6-step | 6-step |
| Reverser | hydr. | hydr. | hydr. | hydr. | hydr. | hydr. | hydr. | hydr. | hydr. | hydr. | hydr. | hydr. | hydr. | hydr. | hydr. | hydr. |
| Max. speed | 40 (50) km/h | 40 (50) km/h | 40 (50) km/h | 40 (50) km/h | 40 (50) km/h | 40 (50) km/h | 40 (50) km/h | 40 (50) km/h | 40 (50) km/h | 40 (50) km/h | 40 (50) km/h | 40 (50) km/h | 40 (50) km/h | 40 (50) km/h | 40 (50) km/h | 40 (50) km/h |
| Hydr. flow l/min | 88 / 123 l/min | 88 / 123 l/min | 88 / 123 l/min | 88 / 123 l/min | 88 / 123 l/min | 88 / 123 l/min | 88 / 123 l/min | 88 / 123 l/min | 88 / 123 l/min | 88 / 123 l/min | 88 / 123 l/min | 88 / 123 l/min | 88 / 123 l/min | 88 / 123 l/min | 88 / 123 l/min | 88 / 123 l/min |
| Hydraulic pressure | 206 bar | 206 bar | 206 bar | 206 bar | 206 bar | 206 bar | 206 bar | 206 bar | 206 bar | 206 bar | 206 bar | 206 bar | 206 bar | 206 bar | 206 bar | 206 bar |
| Lift controls | elec. | elec. | elec. | elec. | elec. | elec. | elec. | elec. | elec. | elec. | elec. | elec. | elec. | elec. | elec. | elec. |
| Lift capacity | 6300/9300 kg | 6300/9300 kg | 6300/9300 kg | 6300/9300 kg | 6300/9300 kg | 6300/9300 kg | 6300/9300 kg | 6300/9300 kg | 6300/9300 kg | 6300/9300 kg | 6300/9300 kg | 6300/9300 kg | 6300/9300 kg | 6300/9300 kg | 6300/9300 kg | 6300/9300 kg |
| PTO speeds | 540/750/1000/ 1400 | 540/750/1000/ 1400 | 540/750/1000/ 1400 | 540/750/1000/ 1400 | 540/750/1000/ 1400 | 540/750/1000/ 1400 | 540/750/1000/ 1400 | 540/750/1000/ 1400 | 540/750/1000/ 1400 | 540/750/1000/ 1400 | 540/750/1000/ 1400 | 540/750/1000/ 1400 | 540/750/1000/ 1400 | 540/750/1000/ 1400 | 540/750/1000/ 1400 | 540/750/1000/ 1400 |
| Brakes | wet disc | wet disc | wet disc | wet disc | wet disc | wet disc | wet disc | wet disc | wet disc | wet disc | wet disc | wet disc | wet disc | wet disc | wet disc | wet disc |
| Steering | hydrost. | hydrost. | hydrost. | hydrost. | hydrost. | hydrost. | hydrost. | hydrost. | hydrost. | hydrost. | hydrost. | hydrost. | hydrost. | hydrost. | hydrost. | hydrost. |
| Front tyres 4WD | 540/65R28 | 540/65R28 | 540/65R28 | 540/65R28 | 540/65R28 | 540/65R28 | 540/65R28 | 540/65R28 | 540/65R28 | 540/65R28 | 540/65R30 | 540/65R30 | 540/65R30 | 540/65R30 | 540/65R30 | 540/65R30 |
| Rear tyres 4WD | 650/65R38 | 650/65R38 | 650/65R38 | 650/65R38 | 650/65R38 | 650/65R38 | 650/65R38 | 650/65R38 | 650/65R38 | 650/65R38 | 650/65R42 | 650/65R42 | 650/65R42 | 650/65R42 | 650/65R42 | 650/65R42 |
| Weight 4WD | 6400 kg | 6400 kg | 6400 kg | 6400 kg | 6400 kg | 6400 kg | 7010 kg | 7010 kg | 7010/7160 kg | 7010/7160 kg | 7210/7360 kg | 7210/7360 kg | 7210 kg | 7210 kg | 7210 kg | 7210 kg |
| Height with cab | 292 cm | 292 cm | 292 cm | 292 cm | 292 cm | 292 cm | 292 cm | 292 cm | 292 cm | 292 cm | 306 cm | 306 cm | 306 cm | 306 cm | 306 cm | 306 cm |
| Length (2WD/4WD) | 507 cm | 507 cm | 507 cm | 507 cm | 507 cm | 507 cm | 526 cm | 526 cm | 526 cm | 526 cm | 526 cm | 526 cm | 526 cm | 526 cm | 526 cm | 526 cm |
| Wheelbase (2WD/4WD) | 260 cm | 260 cm | 260 cm | 260 cm | 260 cm | 260 cm | 282 cm | 282 cm | 282 cm | 282 cm | 282 cm | 282 cm | 282 cm | 282 cm | 282 cm | 282 cm |
| Fuel tank | 280+AB52 l | 280+AB52 l | 280+AB52 l | 280+AB52 l | 280+AB52 l | 280+AB52 l | 320+AB52 l | 320+AB52 l | 320+AB52 l | 320+AB52 l | 320+AB52 l | 320+AB52 l | 320+AB52 l | 320+AB52 l | 320+AB52 l | 320+AB52 l |
| Cab noise level | 70 dB | 70 dB | 70 dB | 70 dB | 70 dB | 70 dB | 70 dB | 70 dB | 70 dB | 70 dB | 70 dB | 70 dB | 70 dB | 70 dB | 70 dB | 70 dB |
| Solid cab | x | x | x | x | x | x | x | x | x | x | x | x | x | x | x | x |
| Diff. lock | disc lock | disc lock | disc lock | disc lock | disc lock | disc lock | disc lock | disc lock | disc lock | disc lock | disc lock | disc lock | disc lock | disc lock | disc lock | disc lock |
| Autom. differential locks | x | x | x | x | x | x | x | x | x | x | x | x | x | x | x | x |
| Air suspension seat | x | x | x | x | x | x | x | x | x | x | x | x | x | x | x | x |
| Air conditioning | x | x | x | x | x | x | x | x | x | x | x | x | x | x | x | x |
| Creeper gear | opt. | opt. | opt. | opt. | opt. | opt. | opt. | opt. | opt. | opt. | opt. | opt. | opt. | opt. | opt. | opt. |
- More from this manufacturer






